模拟卷 7
选择题
第 1~40 小题,每小题 2 分,共 80 分。下列每题给出的四个选项中,只有一个选项符合试题要求。
1
设 是描述问题规模的正整数,下列程序片段的时间复杂度是( )。
i = n * n;
while (i != 1)
i = i / 2;
【解析】 程序首先将变量 初始化为 的平方,即 。然后进入 while 循环,循环条件为 ,每次迭代将 除以 。循环的迭代次数取决于 从 减少到 所需除以 的次数。
设迭代次数为 ,经过 次迭代后, 的值变为 。当循环终止时, ,因此有 ,即 。取对数可得 。
在时间复杂度分析中,常数因子可以忽略,因此迭代次数 的数量级为 。所以,该程序片段的时间复杂度是 。对比选项,A 正确。
2
若已知一个栈的入栈序列是 1,2,3,4。其出栈序列为 p1,p2,p3,p4,则 p2,p4 不可能是( )。
【解析】 栈的入栈序列为 1,2,3,4,出栈序列需符合栈的后进先出规则。通过分析所有可能的出栈序列(共 14 种),并检查各选项中 p2(第二个出栈元素)和 p4(第四个出栈元素)的组合是否存在合法的序列对应。
- 选项 A(2、4):存在合法序列如 1,2,3,4,其中 p2=2、p4=4,故可能。
- 选项 B(2、1):存在合法序列如 3,2,4,1,其中 p2=2、p4=1,故可能。
- 选项 C(4、3):不存在任何合法出栈序列同时满足 p2=4 且 p4=3。例如,序列 1,4,2,3 看似满足,但实际上不合法,因为在出栈 4 后,栈中剩余 2 和 3 且 3 在栈顶,必须优先出栈 3,无法直接出栈 2,因此无法实现 p4=3。
- 选项 D(3、4):存在合法序列如 1,3,2,4,其中 p2=3、p4=4,故可能。
综上,p2、p4 不可能是 4、3,对应选项 C。
3
执行完下列语句段后,i 值为( )。
int f(int x)
{
return ((x > 0) ? x * f(x - 1) : 2);
}
int i;
i = f(f(1));
【解析】 首先,函数 f 是递归函数,其定义为:当参数 x 大于 0 时,返回 x 乘以 f(x-1);当 x 不大于 0(即 x ≤ 0)时,返回 2。语句 i = f(f(1)); 的执行过程分为两步:先计算内层 f(1),再将结果作为参数计算外层 f。
计算 f(1):由于 1 > 0,返回 1 * f(0)。计算 f(0):0 不大于 0,因此返回 2。所以 f(1) = 1 * 2 = 2。
然后计算外层 f(f(1)) 即 f(2)。对于 f(2):2 > 0,返回 2 * f(1)。而 f(1) 已计算为 2,因此 f(2) = 2 * 2 = 4。最终 i 的值为 4。
递归过程有限,因为对于正整数参数,递归总是递减到 0 后终止,不会无限递归。因此正确答案为 B。
4
含有 4 个元素值均不相同的结点的二叉排序树有( )种。
【解析】 二叉排序树(BST)的结构数量由卡特兰数决定。对于 n 个值均不相同的节点,不同形态的二叉排序树数量等于第 n 个卡特兰数
,计算公式为
其中 表示组合数。
当
时,计算
:
因此,含有 4 个元素值均不相同的结点的二叉排序树共有 14 种。
5
由元素序列(27,16,75,38,51)构造平衡二叉树,则首次出现的最小不平衡子树的根(即离插入结点最近且平衡因子的绝对值为 2 的结点)是( )。
【解析】 按序列(27,16,75,38,51)依次插入构造平衡二叉树:
- 插入 27 和 16 后,树平衡。
- 插入 75 后,树仍平衡。
- 插入 38 后,各节点平衡因子绝对值均不超过 1,树平衡。
- 插入 51 后,节点 38 的平衡因子变为 -1(平衡),但节点 75 的左子树高度为 1、右子树高度为 -1(空),平衡因子计算为 1 - (-1) = 2,绝对值首次达到 2,成为不平衡节点。继续向上检查,节点 27 的平衡因子也变为 -2,但节点 75 是离插入点 51 最近的不平衡节点,因此最小不平衡子树的根是 75。
6
在下列二叉树中,( )的所有非叶结点的度均为 2。
Ⅰ. 完全二叉树
Ⅱ. 满二叉树
Ⅲ. 平衡二叉树
Ⅳ. 哈夫曼树
Ⅴ. 二叉排序树
【解析】
首先,理解题意:所有非叶结点的度均为 2,意味着二叉树中每个内部节点都必须有两个子节点。接下来逐一分析所列二叉树类型:
完全二叉树的定义是除最后一层外,其他层节点数达到最大值,且最后一层节点尽量靠左排列。在这种情况下,非叶结点可能只有一个子节点(例如,当树节点数较少时),因此度可能为 1 或 2,不满足所有非叶结点度均为 2 的条件。
满二叉树则严格要求每个节点要么是叶子节点(度为 0),要么有两个子节点(度为 2)。因此,满二叉树的所有非叶结点度均为 2,符合条件。
平衡二叉树(如 AVL 树)主要关注左右子树高度平衡,不限制节点的度数。在平衡二叉树中,非叶结点可能只有左子节点或右子节点,即度可以为 1,所以不满足要求。
哈夫曼树在构建过程中,每次合并两个节点形成新的内部节点,因此每个内部节点都有两个子节点。哈夫曼树的所有非叶结点度均为 2,符合条件。
二叉排序树中,节点度数取决于插入顺序和树的结构,非叶结点常常可能只有一个子节点(例如,在偏斜树中),因此度可能为 1 或 2,不满足所有非叶结点度均为 2 的条件。
综上,只有满二叉树和哈夫曼树满足所有非叶结点的度均为 2,对应选项中的Ⅱ和Ⅳ,故正确答案为 A。
7
一个含有 个顶点和 条边的简单无向图,其邻接矩阵存储中零元素的个数是( )。
【解析】 邻接矩阵是一个 的矩阵,总共有 个元素。在简单无向图中,没有自环,因此对角线上的 个元素均为零。
图的每条边对应两个对称的非对角线元素(例如,边 对应 和 ),所以非零元素的个数为 。
零元素的个数等于总元素数减去非零元素数,即 。
8
下列关于 AOE 网的叙述中,正确的是( )。
【解析】 AOE 网中关键路径是从源点到汇点的最长路径,决定了整个工程的最短完成时间。选项 A 错误,因为缩短关键路径上某个活动的时间后,如果该活动不再是关键路径的一部分(例如其他路径成为新的关键路径),整个工程时间可能不变甚至增加。选项 B 错误,因为延长关键路径上活动的时间可能使关键路径发生改变,从而工程延长时间不一定等于活动延长时间。选项 C 错误,因为改变关键路径上的活动(如时间调整)不一定导致关键路径改变,例如缩短活动后原路径仍为最长时,关键路径不变。选项 D 正确,当所有关键路径同时延长或缩短相同量时,这些路径的相对长度保持不变,没有其他路径成为更长路径,因此关键路径集合不会改变。
9
下列关于散列表的说法中,不正确的是( )个。
Ⅰ. 散列表的平均查找长度与处理冲突方法无关
Ⅱ. 在散列表中,“比较”操作一般也是不可避免的
Ⅲ. 散列表在查找成功时的平均查找长度与表长有关
Ⅳ. 若在散列表中删除一个元素,只需简单地将该元素删除即可
【解析】
Ⅰ错误。散列表的平均查找长度(ASL)与处理冲突的方法密切相关。例如,线性探测、二次探测和链地址法等不同方法会导致不同的查找性能,ASL 计算公式也各不相同,因此该说法不正确。
Ⅱ正确。在散列表查找过程中,即使哈希函数直接映射到槽位,通常也需要比较关键字以确认是否找到目标元素,因为哈希冲突可能发生或需要验证匹配,因此“比较”操作一般是不可避免的。
Ⅲ错误。散列表在查找成功时的平均查找长度主要取决于负载因子(元素个数与表长的比值),而不是表长本身。例如,链地址法中成功查找的 ASL 约为 1 + α/2(α为负载因子),当负载因子固定时,ASL 与表长无关,因此该说法不正确。
Ⅳ错误。在散列表中删除元素并不总是简单的,尤其是采用开放定址法时,直接删除元素可能会破坏查找链,导致后续查找失败,通常需要标记为“已删除”状态。即使在链地址法中,删除也需调整指针,因此该说法不正确。
综上,不正确的说法有Ⅰ、Ⅲ、Ⅳ,共 3 个,故选 C。
10
数据序列(2,1,4,9,8,10,6,20)只能是( )排序的两趟排序后的结果。
【解析】 首先分析序列(2,1,4,9,8,10,6,20)作为各排序算法两趟后的可能性。冒泡排序两趟后,最大和第二大元素应位于末尾,但序列末尾为 6 和 20,第二大的 10 不在倒数第二,排除 B。选择排序两趟后,最小和第二小元素应位于前两位,但序列前两位为 2 和 1,而非 1 和 2,排除 C。插入排序两趟后,前两个元素应有序,但序列前两位为 2 和 1(无序),排除 D。
快速排序的可能在于:序列中元素 4 满足左边(2,1)均小于 4,右边(9,8,10,6,20)均大于 4,符合快速排序一趟分区后枢轴就位的特征。考虑两趟操作:第一趟以最后一个元素 20 为枢轴进行分区,由于 20 最大,分区后序列不变;第二趟对左子序列(2,1,4,9,8,10,6)以 4 为枢轴进行分区,使 4 就位,且左子序列保持为 2,1,4,9,8,10,6,从而得到当前序列。尽管枢轴选择可能非标准(如选中间元素),但快速排序允许不同策略,而其他算法均不匹配,因此 A 正确。
11
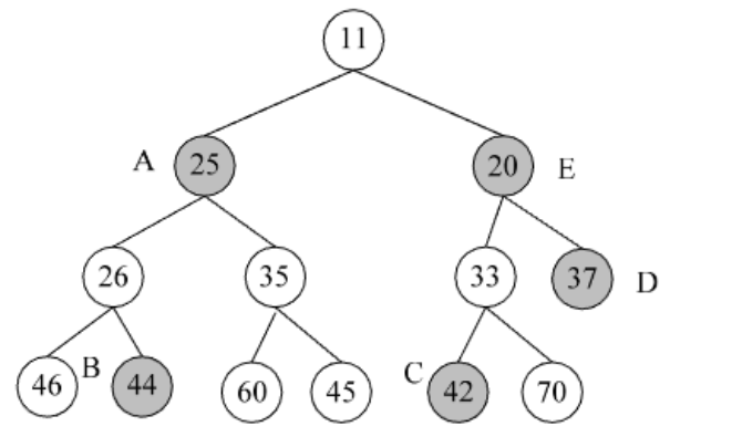
假定我们从下图所示的堆中删除了值为 11 的结点,那么值为 70 的结点将出现在图中哪个指定位置( )。

【解析】 本题考查堆的调整过程。堆的调整流程如下图所示,可知 70 最后的位置为 C。

12
冯·诺伊曼机可以区分指令和数据的部件是( )。
【解析】 冯·诺伊曼机采用存储程序结构,指令和数据共享同一个存储器。为了正确执行程序,计算机必须能够区分指令和数据,这一功能主要由控制器实现。控制器负责协调计算机的各部件工作,通过指令周期来管理操作:在取指阶段,控制器从存储器中读取指令,并更新程序计数器;在执行阶段,控制器解码指令,并根据需要访问数据存储器或执行运算。因此,控制器通过不同的时序和控制信号,确保指令被当作命令处理,而数据被当作操作数处理,从而有效区分两者。其他部件如总线只负责传输信息,运算器专注于算术逻辑运算,控制存储器则用于存储微程序,它们均不直接承担区分指令和数据的核心角色。
13
已知 C 程序中,某类型为 int 的变量 x 的值为 -1088。程序执行时,x 先被存放在 16 位寄存器 R1 中,然后被进行算术右移 4 位的操作。则此时 R1 中的内容(以十六进制表示)是( )。
【解析】 首先,变量 x 的值为 -1088,在 16 位寄存器中采用二进制补码表示。1088 的十六进制表示为 0x0440,对其取反加一得到 -1088 的表示:0xFFFF - 0x0440 + 1 = 0xFBBF + 1 = 0xFBC0。因此,寄存器 R1 初始内容为 0xFBC0。
执行算术右移 4 位时,由于符号位为 1,左移空出的高位补 4 个 1。原始值 0xFBC0(二进制 1111 1011 1100 0000)右移 4 位后,低 4 位丢弃,高 4 位补 1,得到 1111 1111 1011 1100,即十六进制 0xFFBC。
另一种验证方式:算术右移 4 位等价于除以 16。计算 -1088 / 16 = -68,而 -68 的 16 位二进制补码表示为 0xFFBC(68 为 0x0044,取反加一得 0xFFBC)。因此,移位后 R1 的内容为 0xFFBC。
选项 A 为原始值,选项 C 和 D 均为正数表示,与结果不符,故正确答案为 B。
14
下列关于机器零的说法,正确的是( )。
【解析】本题考查机器零。只有当数据发生“上溢”时,机器才会终止运算操作,转去进行溢出处理,A 错误。规格后化可以判断运算结果是否上溢出(超过表示范围),但和机器零没有关联,规格化规定尾数的绝对值应大于或等于 1/R(R 为基数),并小于或等于 1,机器零显然不符合这个定义,C 错误。定点数中所表示的 0,是实实在在的 0(坐标轴上的),而不是趋近 0 的机器零,D 错误。在各种数码的表示法中,移码相当于真值在坐标轴上整体右移至正区间内,当移码表示的阶码全 0 时,为阶码表示的最小负数,此时直接认为浮点数是机器零,B 正确。
注意:当浮点运算结果在 0 到最小正数之间(正下溢)或最大负数到 0 之间(负下溢)时,浮点数值趋于 0,计算机将其当做机器零处理。
15
某存储系统中,主存容量是 Cache 容量的 4096 倍,Cache 被分为 64 块,当主存地址和 Cache 地址采用直接映射方式时,地址映射表的大小应为( )。(假设不考虑一致维护位)
【解析】 本题考查 Cache 与主存的映射原理。由于 Cache 被分为 64 块,那么 Cache 有 64 行,采用直接映射,一行相当于一组。故而该标记阵列每行存储 1 个标记项,其中主存标记项为 12bit( ,是 Cache 容量的 4096 倍,那就是地址长度比 Cache 长 12 位),加上 1 位有效位,故而为 bit。
注意:主存—Cache 地址映射表(标记阵列)中内容:映射的 Cache 地址(直接映射不需要因为 Cache 地址唯一,组相联只需要组号)、主存标记(命中判断)、有效位。如下图所示。

16
某虚拟存储系统采用页式存储管理,只有 a、b 和 c 三个页框,页面访问的顺序为:
0, 1, 2, 4, 2, 3, 0, 2, 1, 3, 2, 3, 0, 1, 4
若采用 FIFO 替换算法,则命中率为( )。
【解析】 本题考查 FIFO 算法。FIFO 算法指淘汰先进入的,易知替换顺序为:
| 走向 | 0 | 1 | 2 | 4 | 2 | 3 | 0 | 2 | 1 | 3 | 2 | 3 | 0 | 1 | 4 |
|---|---|---|---|---|---|---|---|---|---|---|---|---|---|---|---|
| c | 2 | 2 | 2 | 2 | 0 | 0 | 0 | 3 | 3 | 3 | 3 | 3 | 3 | ||
| b | 1 | 1 | 1 | 1 | 3 | 3 | 3 | 1 | 1 | 1 | 1 | 1 | 1 | 4 | |
| a | 0 | 0 | 0 | 4 | 4 | 4 | 4 | 2 | 2 | 2 | 2 | 2 | 0 | 0 | 0 |
| 命中否 | √ | √ | √ | √ |
表中除了标注为命中的,其余均未命中,所以命中率为 。
17
假设寄存器 R 中的数值为 200,主存地址为 200 和 300 的地址单元中存放的内容分别是 300 和 400,则( )访问到的操作数为 200。
Ⅰ. 直接寻址 200
Ⅱ. 寄存器间接寻址(R)
Ⅲ. 存储器间接寻址(200)
Ⅳ. 寄存器寻址 R
【解析】 本题考查各种数据寻址方式的原理。直接寻址 200 中,200 就是有效地址,所访问的主存地址 200 对应的内容是 300,Ⅰ错误。寄存器间接寻址(R)的访问结果与Ⅰ一样,Ⅱ错误。存储器间接寻址(200)表示主存地址 200 中的内容为有效地址,所以有效地址为 300,访问的操作数是 400,Ⅲ错误。寄存器寻址 R 表示寄存器 R 的内容即为操作数,所以只有Ⅳ正确。此类题建议画出草图。
18
下列部件不属于控制器的是( )。
【解析】 控制器是 CPU 的核心部件,负责指令译码、产生控制信号以协调计算机各部件工作。典型控制器包括指令寄存器、程序计数器、时序电路等。
指令寄存器(A)用于存储当前执行的指令,程序计数器(B)存放下一条指令地址,时序电路(D)产生定时信号控制指令执行步骤,三者均属于控制器。
程序状态字寄存器(C)主要存储处理器的状态信息(如进位、零标志等),这些信息反映运算器操作结果,虽可供控制器使用,但其本身属于处理器状态单元或运算器关联部分,不属于控制器。因此,本题选项中不属于控制器的是程序状态字寄存器。
19
设指令由取指、分析、执行三个子部件完成,每个子部件的工作周期均为 t,采用常规标量流水线处理。若连续执行 10 条指令,则需要的时间为( )。
【解析】 在常规标量流水线中,指令执行分为取指、分析、执行三个阶段,每个阶段耗时均为 。流水线处理允许连续指令重叠执行不同阶段,从而提升效率。对于 个阶段(本题 )和 条指令(本题 ),总时间计算公式为:
代入具体数值:
这意味着第一条指令在 时完成,后续指令每隔 时间完成一条,第 10 条指令在 时完成,因此连续执行 10 条指令需要 时间。
选项中,A. 、B. 、D. 均不符合计算结果,故正确答案为 C。
20
在 32 位总线系统中,若时钟频率为 500MHz,传送一个 32 位字需要 5 个时钟周期,则该总线系统的数据传输速率是( )。
【解析】 首先,理解关键参数:总线宽度为 32 位,时钟频率为 500 MHz,传送一个 32 位字需要 5 个时钟周期。数据传输速率指单位时间内传输的数据量,通常以字节每秒(B/s)为单位。
计算每秒传输的字数:时钟频率为 500 MHz,即每秒有
个时钟周期。由于每 5 个时钟周期传输一个字,因此每秒传输的字数为
每个字的数据量:32 位等于 4 字节(因为 8 位为 1 字节)。因此,每秒传输的数据量为
在数据传输速率中,常以 MB/s 表示兆字节每秒,其中 1 MB = 字节。因此, 字节/秒等于 400 MB/s,对应选项 B。
21
某计算机系统中的软盘驱动器以中断方式与处理机进行 I/O 通信,通信以 16bit 为传输单位,传输率为 50KB/s。每次传输的开销(包括中断)为 100 个节拍,处理器的主频为 50MHz,则磁盘使用时占用处理器时间的比例为( )。
首先,传输单位为 16 比特,即 2 字节。
传输速率为 50 KB/s,这里按 1 KB = 1024 字节计算,每秒传输的字节数为
因此,每秒传输次数
处理器主频为 50 MHz,即
每个时钟周期(节拍)的时间为
每次传输的开销为 100 个节拍,所以每次开销时间为
每秒总开销时间为
占用处理器时间的比例为
若按 1 KB = 1000 字节计算,则
总开销时间为
比例仍为
因此,答案为 5%。
22
对于单 CPU 单通道工作过程,下列可以完全并行工作的是( )。
【解析】 本题考查通道的工作原理。做题的时候要注意完全并行的“完全”这两个字,对于单 CPU 系统来讲,程序和程序之间是并发的关系,而不是真正意义上的并行,要理解好并发和并行的区别。通道方式是 DMA 方式的进一步发展,通道实际上也是实现 I/O 设备和主存之间直接交换数据的控制器。通道的基本工作过程如下图所示。

CPU 通过执行 I/O 指令负责启停通道,以及处理来自通道的中断实现对通道的管理,因此通道和程序(即 CPU)并没有完全并行,因为通道仍然需要 CPU 来对它实行管理,B 错误。而在设备工作时,它只与通道交互,此时程序与其并行工作,C 正确。而 A、D 显然错误。
23
用户在编写程序时计划读取某个数据文件中的 20 个数据记录,他使用操作系统提供的接口是( )。
【解析】 在编写程序时,用户需要通过代码与操作系统交互来读取文件中的数据记录。操作系统提供的系统调用(System Call)是专门为应用程序设计的编程接口,它允许程序请求操作系统的服务,如文件操作、进程管理等。例如,在 C 语言中使用 read() 函数读取文件时,底层会调用操作系统的 read 系统调用,从而实现对文件的访问。
其他选项中,图形用户接口(GUI)是面向最终用户的视觉交互界面,通过点击、拖拽等方式操作,不适用于编程时的文件读取;原语(Primitive)通常指操作系统内核中不可中断的基本操作,是系统调用的底层实现,但不直接暴露给应用程序员;命令行输入控制是通过命令行界面输入指令来操作系统的交互方式,属于用户级交互,而非编程接口。因此,用户在编写程序时读取数据文件应使用系统调用接口。
24
在多对一的线程模型中,当一个多线程进程中的某一个线程执行一个需阻塞的系统调用时,( )。
【解析】 在多对一的线程模型中,多个用户级线程映射到单个内核级线程。这意味着所有用户级线程都由同一个内核线程管理,内核线程是操作系统进行调度和执行的基本单位。
当一个用户级线程执行了一个需阻塞的系统调用(例如等待 I/O 操作完成)时,控制权会转移到内核。由于只有一个内核线程,该内核线程会因为系统调用而进入阻塞状态。操作系统内核会将该内核线程(从而整个进程)置于阻塞队列,并切换到其他就绪进程执行。
因此,尽管进程内部有多个用户级线程,但由于它们共享同一个内核线程,一旦这个内核线程阻塞,整个进程就无法继续运行,所有用户级线程都会被阻塞。其他选项不正确:A 错误,因为其他线程无法运行;C 和 D 错误,因为线程和进程通常不会被撤销,只是状态改变。
25
并发进程运行时,其推进的相对速度是( )。
【解析】
并发进程的推进相对速度主要与操作系统的进程调度策略有关。在并发环境中,多个进程交替或并行执行,其执行顺序和获得 CPU 时间的频率由调度器根据策略(如时间片轮转、优先级调度等)动态决定。进程的程序结构或代码虽可能影响其计算需求,但无法直接控制调度器的分配行为;进程创建时可能设定初始属性,但推进速度在运行时会随系统负载和调度决策变化,并非固定不变。因此,推进速度的关键因素是调度策略。
26
在使用信号量机制实现互斥和同步时,互斥信号量和同步信号量的初值分别为( )。
【解析】本题考查信号量机制。互斥信号量的初值都设置为 1,P 操作成功则将其改成 0,V 操作成功将其改成 1。实现同步时,信号量的初值应根据具体情况来确定,若期望的消息尚未产生,则对应的初值应设为 0;若期望的消息已经存在,则信号量的初值应设为一个非 0 的正整数。
注意:互斥信号量和同步信号量的区别。信号量机制是每年考题的重点,这就要求考生能在理解的基础上熟练应用和掌握信号量。
27
某操作系统采用可变分区分配存储管理方法,操作系统占用低地址部分的 126KB。用户区大小为 386KB,且用户区始址为 126KB,用空闲分区表管理空闲分区。若分配时采用分配空闲区高地址部分的方案,且初始时用户区的 386KB 空间空闲,对申请序列:作业 1 申请 80KB,作业 2 申请 56KB,作业 3 申请 120KB,作业 1 释放 80KB,作业 3 释放 120KB,作业 4 申请 156KB,作业 5 申请 81KB。如果采用首次适应算法处理上述序列,则最小空闲块的大小为( )。
【解析】 我们按照序列逐步模拟存储分配与释放过程。操作系统占用低地址 126KB,用户区始址 126KB,大小 386KB,即用户区范围为 126KB~512KB。初始时,整个用户区空闲,空闲分区表仅有一个分区:起始地址 126KB,大小 386KB。分配时采用首次适应算法,且从找到的空闲分区的高地址部分切割。
作业 1 申请 80KB:查找第一个大小≥80KB 的空闲分区(126KB, 386KB),从高地址部分切割 80KB,分配后空闲分区变为(126KB, 306KB)。作业 1 占据 432KB~512KB。
作业 2 申请 56KB:查找第一个大小≥56KB 的空闲分区(126KB, 306KB),从高地址部分切割 56KB,分配后空闲分区变为(126KB, 250KB)。作业 2 占据 376KB~432KB。
作业 3 申请 120KB:查找第一个大小≥120KB 的空闲分区(126KB, 250KB),从高地址部分切割 120KB,分配后空闲分区变为(126KB, 130KB)。作业 3 占据 256KB~376KB。
作业 1 释放 80KB:释放区域为 432KB~512KB,与现有空闲分区(126KB, 130KB)不相邻,空闲分区表变为两个:(126KB, 130KB)和(432KB, 80KB)。
作业 3 释放 120KB:释放区域为 256KB~376KB,与第一个空闲分区(126KB, 130KB)相邻(结束于 256KB),合并为(126KB, 250KB)。第二个空闲分区(432KB, 80KB)不变。空闲分区表为(126KB, 250KB)和(432KB, 80KB)。
作业 4 申请 156KB:查找第一个大小≥156KB 的空闲分区(126KB, 250KB),从高地址部分切割 156KB,分配后该分区变为(126KB, 94KB)。作业 4 占据 220KB~376KB。空闲分区表为(126KB, 94KB)和(432KB, 80KB)。
作业 5 申请 81KB:查找第一个大小≥81KB 的空闲分区(126KB, 94KB),从高地址部分切割 81KB,分配后该分区变为(126KB, 13KB)。作业 5 占据 139KB~220KB。空闲分区表最终为(126KB, 13KB)和(432KB, 80KB)。
最终有两个空闲块,大小分别为 13KB 和 80KB,最小空闲块大小为 13KB,对应选项 B。
28
下列说法中,正确的是( )。
Ⅰ. 先进先出(FIFO)页面置换算法可能会产生 Belady 现象。
Ⅱ. 最近最少使用(LRU)页面置换算法可能会产生 Belady 现象。
Ⅲ. 在进程运行时,如果它的工作集页面都在虚拟存储器内,能够使该进程有效地运行,否则会出现频繁的页面调入/调出现象。
Ⅳ. 在进程运行时,如果它的工作集页面都在主存储器内,能够使该进程有效地运行,否则会出现频繁的页面调入/调出现象。
【解析】
说法Ⅰ正确:先进先出(FIFO)页面置换算法在增加内存页面帧数时,可能导致缺页次数反而增加,这种现象称为 Belady 异常,因此 FIFO 确实可能产生 Belady 现象。
说法Ⅱ错误:最近最少使用(LRU)页面置换算法属于栈算法,对于任何页面访问序列,增加页面帧数不会增加缺页次数,因此 LRU 不会产生 Belady 现象。
说法Ⅲ错误:工作集是指进程在最近一段时间内访问的页面集合。若工作集页面仅位于虚拟存储器(如磁盘交换区),进程访问时需频繁调入主存,会导致缺页中断和页面调入/调出,无法有效运行;有效运行需要工作集页面位于主存储器中。
说法Ⅳ正确:当进程的工作集页面都在主存储器内时,进程可快速访问所需页面,减少缺页中断,从而有效运行;否则,会因页面缺失而出现频繁的页面调入/调出现象。
综上,正确说法为Ⅰ和Ⅳ,对应选项 B。
29
在请求分页存储管理系统中,地址变换过程可能会因为( )而产生中断。
Ⅰ. 地址越界
Ⅱ. 缺页
Ⅲ. 访问权限错误
Ⅳ. 内存溢出
【解析】 在请求分页存储管理系统中,地址变换过程将逻辑地址转换为物理地址,该过程可能因多种异常情况而产生中断。
首先,地址越界(Ⅰ)可能触发中断。当地址变换时,若逻辑地址的页号超出进程地址空间范围(如大于页表长度),硬件会检测到无效访问,产生越界中断。
其次,缺页(Ⅱ)是请求分页系统的核心中断来源。当访问的页面不在内存中(页表项的有效位为 0),硬件会触发缺页中断,操作系统需调入页面。
第三,访问权限错误(Ⅲ)也可能导致中断。页表项中包含保护位(如读、写权限),若进程试图以未授权方式访问页面(如写入只读页),会触发保护中断。
最后,内存溢出(Ⅳ)通常不是地址变换过程的直接中断原因。内存溢出指系统内存不足,这可能在页面置换或内存分配时由操作系统处理,但地址变换本身不直接检测内存溢出;缺页中断处理程序可能需处理内存不足,但变换过程不会因此产生中断。
因此,地址变换过程可能因Ⅰ、Ⅱ和Ⅲ产生中断,对应选项 D。
30
下面关于索引文件的叙述中,正确的是( )。
【解析】
选项 A 不正确,因为索引文件的索引表项通常包含的是指向记录的指针(物理地址),但并不一定都包含关键字。在操作系统的索引分配方式中,索引块存储的是文件块的物理地址,关键字索引更多用于数据库系统,而非一般文件系统的索引文件。
选项 B 正确,它描述了不同文件组织的检索起点。对于非索引文件(如连续或链接分配),检索时常从文件控制块(FCB)中读取第一个盘块号;而对于索引文件,由于文件数据块的地址存储在索引块中,因此需要先从 FCB 中读出索引块的起始地址,再访问索引块获取目标记录的物理地址。
选项 C 错误,因为三级索引文件存取一个记录通常需要四次磁盘访问:读取一级索引块、二级索引块、三级索引块各一次,最后读取数据块一次。因此,访问次数是四次而非三次。
选项 D 错误,索引文件在随机存取时速度较快,但对于顺序存取,连续分配的文件组织方式可能更高效,因为可以直接顺序读取物理块,而索引文件需要额外访问索引结构,可能引入开销。因此,并非在所有情况下索引文件都是最快的。
31
物理文件的组织方式是由( )确定的。
【解析】 物理文件的组织方式指的是文件在存储设备上的物理结构,例如顺序存储、链式存储或索引存储等。这种组织方式不仅依赖于存储介质的物理特性(如磁盘的扇区大小、访问方式),还取决于操作系统如何管理这些介质。操作系统通过文件系统(如 FAT、NTFS、ext4)将逻辑文件映射到物理存储空间,从而决定文件的布局和访问效率,因此存储介质和操作系统共同确定了物理文件的组织方式。
其他选项分析:A 项应用程序通常只处理文件的逻辑内容,不直接控制物理存储;B 项存储介质单独无法决定组织方式,因为它需要操作系统的管理来实现文件结构;C 项外存容量仅影响存储空间大小,而不影响具体的组织结构。因此,D 项是最全面的正确答案。
32
下列关于中断 I/O 方式的描述中,正确的是( )
【解析】
- A ❌ 描述的是 程序直接控制(轮询)方式 的特点,中断 I/O 方式中 CPU 在设备准备数据时可执行其他任务,无需忙等。
- B ✅ 中断 I/O 方式下,每完成一个 字(或字节) 的传输,设备便向 CPU 发出中断请求,CPU 需介入进行数据存取与状态处理,因此传输一个数据块需多次中断及 CPU 干预。
- C ❌ 响应中断后,CPU 首先保存的是 当前程序的现场(如 PC、寄存器等),而非整个 PCB;PCB 的保存通常在进程切换时发生,并非中断响应的立即操作。
- D ❌ 中断 I/O 方式正是为了实现 CPU 与 I/O 设备的并行工作,设备准备数据时 CPU 可执行其他任务,通过中断机制进行协调。
33
在 OSI 参考模型中,下列哪一层的主要功能是提供端到端的可靠数据传输、流量控制和差错恢复?
【解析】
- 传输层(Transport Layer)负责端到端的可靠数据传输,提供流量控制、差错恢复和连接管理等功能。典型的协议如 TCP。
- 数据链路层 负责相邻节点间的可靠传输(帧同步、差错控制)。
- 网络层 负责路径选择、路由和寻址(如 IP 协议)。
- 会话层 负责建立、管理和终止会话。
34
若数据链路的发送窗口尺寸 WT=4,在发送 3 号帧,并接到 2 号帧的确认帧后,发送方还可以连续发送的帧数是( )。
【解析】 发送窗口尺寸 WT=4 表示发送方最多可以发送 4 个未被确认的帧。假设帧编号从 0 开始,且确认是累积的(即确认帧号 n 表示所有帧号小于 n 的帧均已被确认)。
在发送 3 号帧之前,发送方可能已经发送了帧 0、1、2,此时有 3 个未确认帧。发送 3 号帧后,未确认帧变为 4 个(帧 0、1、2、3),发送窗口已满,无法继续发送新帧。
接着,发送方接到 2 号帧的确认帧。由于确认是累积的,这意味着帧 0、1、2 均已被确认。因此,未确认帧只剩下帧 3,发送窗口基序号移动到 3,窗口允许发送帧 3、4、5、6。由于帧 3 已经发送,当前未确认帧数为 1,而窗口大小为 4,所以发送方还可以连续发送 3 帧(即帧 4、5、6)。
因此,发送方还可以连续发送的帧数是 3 帧。
35
CSMA 协议可以利用多种监听算法来减小发送冲突的概率,下面关于各种监听算法的描述中,错误的是( )。
Ⅰ. 非坚持型监听算法有利于减少网络空闲时间
Ⅱ. 1-坚持型监听算法有利于减少冲突的概率
Ⅲ. P 坚持型监听算法无法减少网络的空闲时间
Ⅳ. 1-坚持型监听算法能够及时抢占信道
【解析】 首先,分析各监听算法的特性:非坚持型监听算法在信道忙时等待随机时间再监听,这减少了冲突,但可能导致信道空闲时无站点立即发送,从而增加网络空闲时间,因此陈述Ⅰ“有利于减少网络空闲时间”是错误的。
其次,1-坚持型监听算法在信道空闲时立即发送,虽然减少了空闲时间,但多个站点可能同时发送,导致冲突概率增加,因此陈述Ⅱ“有利于减少冲突的概率”是错误的。
再者,P 坚持型监听算法通过概率 发送来平衡冲突和空闲时间,相比非坚持型能减少空闲时间,因此陈述Ⅲ“无法减少网络的空闲时间”是错误的。
最后,1-坚持型算法因持续监听并在信道空闲时立即发送,能及时抢占信道,陈述Ⅳ是正确的。
综上,错误的陈述是Ⅰ、Ⅱ和Ⅲ,对应选项 A。
36
在 CSMA/CD 协议中,下列指标与冲突时间没有关系的是( )。
【解析】 在 CSMA/CD 协议中,冲突时间(即冲突窗口或往返传播延迟)是一个关键参数,它决定了信号从发送端到最远站点再返回所需的最长时间。这个时间直接影响到冲突检测和帧设计。
选项 A“检测一次冲突所需要的最长时间”本质上就是冲突时间本身,因此与冲突时间直接相关。选项 B“最小帧长度”是为了确保在帧发送完毕前能够检测到冲突,其计算公式为最小帧长度 = 2 × 传播延迟 × 数据传输速率,这与冲突时间紧密相连。选项 D“最大帧碎片长度”指的是冲突发生后可能产生的碎片的最大长度,由于碎片只能在冲突窗口内形成,其最大长度受限于冲突时间内传输的比特数,因此也与冲突时间有关。
相比之下,选项 C“最大帧长度”通常由协议规范、网络性能或缓冲区大小等因素决定,例如传统以太网中最大帧长度为 1518 字节,目的是限制帧的大小以避免信道过长时间被占用,但这一指标与冲突时间没有直接关系,冲突时间并不影响最大帧长度的设定。因此,与冲突时间没有关系的是最大帧长度。
37
某端口的 IP 地址为 172.16.7.131.26,则该 IP 地址所在网络的广播地址( )。
【解析】
题目中给出的“172.16.7.131.26”可能为笔误,实际应表示 IP 地址 172.16.7.131,子网掩码为 26 位(即 172.16.7.131/26)。子网掩码 26 位对应 255.255.255.192,其二进制形式为 11111111.11111111.11111111.11000000,表示前 26 位为网络部分,后 6 位为主机部分。
IP 地址 172.16.7.131 的第四个字节 131 转换为二进制是 10000011。将其与子网掩码的第四个字节 192(二进制 11000000)进行 AND 运算,得到网络地址的第四个字节为 10000000(十进制 128),因此网络地址为 172.16.7.128。
广播地址是网络地址中主机部分全为 1 的地址。由于主机部分有 6 位,将网络地址 172.16.7.128 的第四个字节后 6 位全置 1,得到二进制 10111111,转换为十进制为 191。因此广播地址为 172.16.7.191。
其他选项中,B(172.16.7.129)是该子网内的一个主机地址;C(172.16.7.255)是未划分子网时的 C 类默认广播地址,但此处已子网划分;D(172.16.7.252)可能是其他子网的广播地址,均不正确。
38
在因特网中,IP 数据报的传输需要经由源主机和中途路由器到达目的主机,下面说法正确的是( )。
【解析】 在因特网中,IP 数据报的传输基于无连接的数据报交换机制。源主机发送数据报时,仅根据本地路由表确定下一跳(如默认网关),而不知道到达目的主机的完整路径。中途路由器在转发时,也仅根据自身路由表查询目的 IP 地址对应的下一跳,同样不了解完整路径。整个传输过程依赖逐跳路由,每个节点独立决策,因此源主机和中途路由器都不知道完整路径,这体现了 IP 协议的分布式和自适应路由特性。选项 A、B、C 的描述均不符合这一原理。
39
TCP 的通信双方,有一方发送了带有 FIN 标志的数据段后表示( )。
【解析】
在 TCP 协议中,FIN(Finish)标志用于终止连接。当通信一方发送带有 FIN 标志的数据段时,表示该方已经完成数据发送,并希望关闭从本方到对方的单向连接。此时,连接进入“半关闭”状态:发送 FIN 的一方不再发送数据,但仍可以接收对方发送的数据,直到对方也发送 FIN 来关闭另一个方向的连接。
选项 A 错误,因为发送 FIN 并不会立即断开通信双方的 TCP 连接,对方可能仍需发送剩余数据;选项 C 错误,因为发送 FIN 后,对方在确认前仍可发送数据;选项 D 错误,因为 FIN 用于连接终止,而非重新建立连接。因此,只有选项 B 准确描述了发送 FIN 后的状态。
40
UDP 协议和 TCP 协议报文首部的非共同字段有( )。
【解析】 UDP 和 TCP 协议报文首部中,源端口和目的端口是两者都具备的字段,用于标识通信的端点。校验和字段在 UDP 和 TCP 中也都存在,尽管 UDP 的校验和是可选的,但通常被视为首部的一部分。序列号是 TCP 特有的字段,用于保证数据的有序传输和可靠性;UDP 作为无连接协议,没有序列号字段,因此序列号是两者的非共同字段。
解答题
第 41~47 题,共 70 分。
41
(9 分)对于一个堆栈,若其入栈序列为 ,不同的出入栈操作将产生不同的出栈序列。其出栈序列的个数正好等于结点个数为 的二叉树的个数,且与不同形态的二叉树一一对应。请简要论述一种从堆栈输入(固定为 )输出序列对应一种二叉树形态的方法,并以入栈序列 (即 )为例加以说明。
42
(13 分)已知一棵二叉树采用二叉链表存储,结点结构为:
struct Node {
struct Node *lchild;
int data;
struct Node *rchild;
};
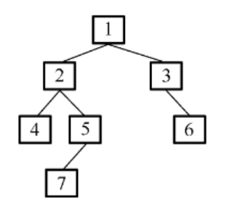
root 指向根结点。请编写算法判断该二叉树是否是平衡二叉树,即二叉树中任意结点的左右子树的深度相差不超过 1。例如下图所示的二叉树就是一棵平衡二叉树。

要求:
(1)给出算法的基本设计思想。
(2)根据设计思想,采用 C 或 C++ 语言描述算法,关键之处给出注释。
43
(10 分)设某计算机有变址寻址、间接寻址和相对寻址方式,一个指令长等于一个存储字。设当前指令的地址码部分为 001AH,正在执行的指令所在地址为 1F05H,变址寄存器中的内容为 23A0H。已知存储器的部分地址及相应内容如下表所示:
(1)当执行取数指令时,如为变址寻址方式,取出的数为多少?
(2)如为间接寻址,取出的数为多少?
(3)设计算机每取一个存储字 PC 自动加 1,转移指令采用相对寻址,当执行转移指令时,转移地址为多少?若希望转移到 23A0H,则指令的地址码部分应设为多少?
44
(11 分)设有一个 CPU 的指令执行部件如下图所示,由 Cache 每隔 100ns 提供 1 条指令。(注:B1、B2 和 B3 是三个相同的并行部件)

(1)画出该指令流水线功能段的时空图。
(2)试计算流水线执行这 4 条指令的实际吞吐率和效率。
45
(7 分)兄弟俩共同使用一个账号,每次限存或取 10 元,存钱与取钱的进程分别如下所示:
int amount = 0;
SAVE() {
int m1;
m1 = amount;
m2 = m1 + 10;
amount = m1;
}
TAKE() {
int m2;
m2 = amount;
m2 = m2 - 10;
amount = m2;
}
由于兄弟俩可能同时存钱和取钱,因此这两个进程是并发的。若哥哥先存了两次钱,但在第三次存钱时,弟弟在取钱。请问:
(1)最后账号 amount 上面可能出现的值?
(2)如何用 P、V 操作实现两并发进程的互斥执行?
46
(7 分)设一个没有设置快表的虚拟页式存储系统,页面大小为 100 字节。一个仅有 460 个字节的程序有下述内存访问序列(下标从 0 开始):
10、11、104、170、73、309、185、245、246、434、458、364。
为该程序分配有 2 个可用页帧(Page frame)。试问:
(1)试叙述缺页中断与一般中断的主要区别?
(2)若分别采用 FIFO 和 LRU 算法,试计算访问过程中发生多少次缺页中断?
(3)若一次访存的时间是 10ms,平均缺页中断处理时间为 25ms,为使该虚拟存储系统的平均有效访问时间不大于 22ms,则可接受的最大缺页中断率是多少?
47
(9 分)设有 4 台主机 A、B、C 和 D 都处在同一物理网络中,它们的 IP 地址分别为:
- A: 192.155.28.112
- B: 192.155.28.120
- C: 192.155.28.135
- D: 192.155.28.202
子网掩码都是 255.255.255.224。请回答:
(1)该网络的 4 台主机中哪些可以直接通信?哪些需要通过设置路由器才能通信?请画出网络连接示意图,并注明各个主机的子网地址和主机地址。
(2)如要加入第 5 台主机 E,使它能与主机 D 直接通信,其 IP 地址的范围是多少?
(3)若不改变主机 A 的物理位置,而将其 IP 改为 192.155.28.168,则它的直接广播地址和本地广播地址各是多少?若使用本地广播地址发送信息,请问哪些主机能够收到?
(4)若要使该网络中的 4 台主机都能够直接通信,可采取什么办法?

